Tahun Masihi Ke Hijrah

Cara Tukar Tarikh Masihi Ke Hijrah

Cara Tukar Tarikh Masihi Ke Hijrah

Artikel Berkaitan Agama

Artikel Berkaitan Agama

Cara Tukar Tarikh Masihi Ke Hijrah Islam Junablogg

Cara Tukar Tarikh Masihi Ke Hijrah Islam Junablogg

Kalendar Islam 2020 Masihi 1441 1442 Hijrah Malaysia

Kalendar Islam 2020 Masihi 1441 1442 Hijrah Malaysia

Cara Tukar Tarikh Masihi Ke Hijrah

Cara Tukar Tarikh Masihi Ke Hijrah

Rainbow Cloudy Penukaran Tarikh Masihi Ke Hijrah

Rainbow Cloudy Penukaran Tarikh Masihi Ke Hijrah

Rainbow Cloudy Penukaran Tarikh Masihi Ke Hijrah

Kalendar Islam 2019 Masihi 1440 1441 Hijrah

Kalendar Islam 2019 Masihi 1440 1441 Hijrah

Kalendar Islam 2018 Masihi 1439 1440 Hijrah

Kalendar Islam 2018 Masihi 1439 1440 Hijrah

Ee Man Tukar Kalendar Masihi Ke Hijrah

Ee Man Tukar Kalendar Masihi Ke Hijrah

Tukar Tarikh Masihi Kepada Hijrah Takwim Hijrah

Tukar Tarikh Masihi Kepada Hijrah Takwim Hijrah

Kelas Falak Syarie Gen1 Cara Tukar Tarikh Masihi Hijrah Dan Sebaliknya

Kelas Falak Syarie Gen1 Cara Tukar Tarikh Masihi Hijrah Dan Sebaliknya

Thefyzal Azyz On Twitter Malam 7 Likur 27 Ramadhan

Thefyzal Azyz On Twitter Malam 7 Likur 27 Ramadhan

Pendidikan Islam Sirah Tahun 4 Hijrah Ke Habsyah Hijrah Islam Education Islam

Pendidikan Islam Sirah Tahun 4 Hijrah Ke Habsyah Hijrah Islam Education Islam

Penukar Tarikh Islam Hijriah Kepada Gregori Islamicfinder

Penukar Tarikh Islam Hijriah Kepada Gregori Islamicfinder

Tahun Hijrah A K A Bulan Islam

Tahun Hijrah A K A Bulan Islam

Hijrah

Hijrah

Isma Jepun Hijrah Pertama Dalam Islam Facebook

Isma Jepun Hijrah Pertama Dalam Islam Facebook

Kalendar Islam 2020 M 1441 1442h Dan Tarikh Penting

Kalendar Islam 2020 M 1441 1442h Dan Tarikh Penting

Sejarah Kalendar Islam Atau Takwim Hijrah Salamwebtoday

Sejarah Kalendar Islam Atau Takwim Hijrah Salamwebtoday

Hijrah Calandar Tarikh Islam Apl Di Google Play

Hijrah Calandar Tarikh Islam Apl Di Google Play

Muallaf Brunei Muallaf Brunei Added A New Photo Facebook

Muallaf Brunei Muallaf Brunei Added A New Photo Facebook

Tukar Tarikh Masihi Ke Hijrah

Tukar Tarikh Masihi Ke Hijrah

Salam Maal Hijrah Jangan Lupa Baca Doa Batu Pahat Sana Sini Facebook

Salam Maal Hijrah Jangan Lupa Baca Doa Batu Pahat Sana Sini Facebook

Awal Muharram Doa Akhir Dan Awal Tahun Doa Muharram Islam

Awal Muharram Doa Akhir Dan Awal Tahun Doa Muharram Islam

Https Encrypted Tbn0 Gstatic Com Images Q Tbn 3aand9gcqp5jypwxch9vzaszwrir12rsjho5f Tznazyopyf6w0qkzzcy5 Usqp Cau

Https Encrypted Tbn0 Gstatic Com Images Q Tbn 3aand9gcqp5jypwxch9vzaszwrir12rsjho5f Tznazyopyf6w0qkzzcy5 Usqp Cau

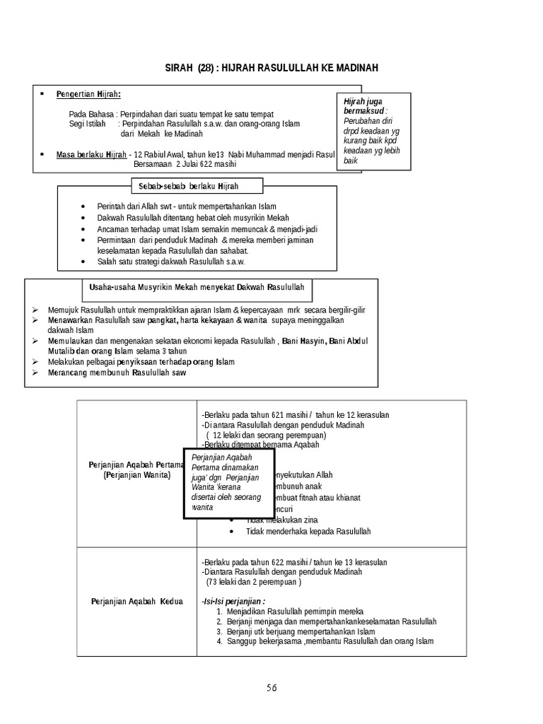
Sirah 28 Hijrah Rasulullah Ke Madinah Perubahan Diri Drpd Keadaan Yg Kurang Baik Kpd Keadaan Yg Lebih Baik

Sirah 28 Hijrah Rasulullah Ke Madinah Perubahan Diri Drpd Keadaan Yg Kurang Baik Kpd Keadaan Yg Lebih Baik

Doa Awal Tahun Hijrah Terkini Fashionistas Style Doa Kylie Jenner

Doa Awal Tahun Hijrah Terkini Fashionistas Style Doa Kylie Jenner

Really Brunei

Really Brunei

5 Peristiwa Sejarah Islam Di Dalam Bulan Murtadha Dakwah Centre فيسبوك

5 Peristiwa Sejarah Islam Di Dalam Bulan Murtadha Dakwah Centre فيسبوك

Doa Awal Tahun Dan Akhir Tahun Hijrah Selamat Menyambut Tahun Baru Hijrah

Doa Awal Tahun Dan Akhir Tahun Hijrah Selamat Menyambut Tahun Baru Hijrah

Source : pinterest.com